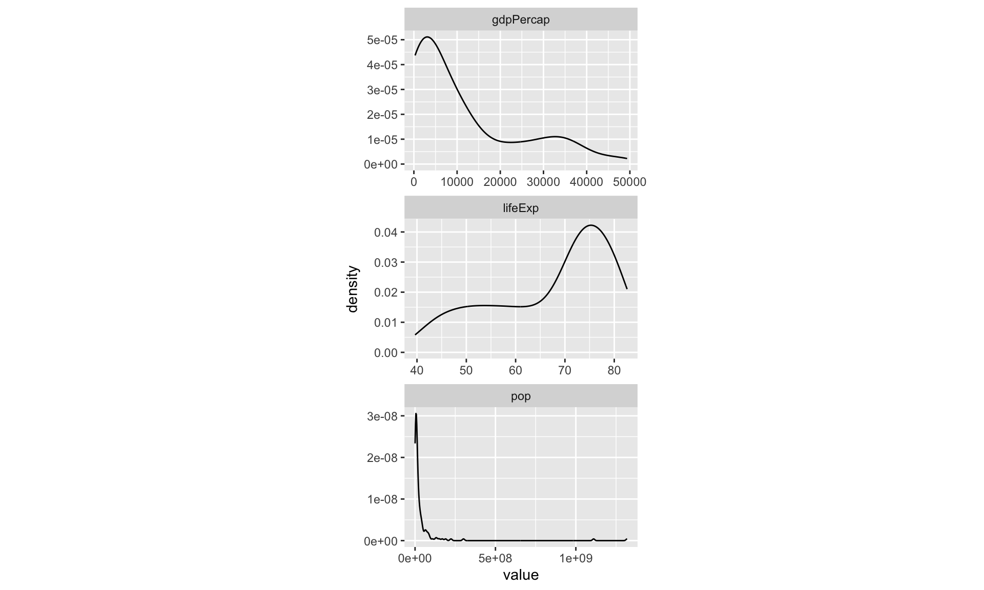
gapminder_ss <- gapminder |>
filter(year == 2007) |> select(-year)
gapminder_ss |> select(-country, -continent) |> arrange(-lifeExp) |>
kable() |> kable_styling(full_width = FALSE)| lifeExp | pop | gdpPercap |
|---|---|---|
| 82.603 | 127467972 | 31656.0681 |
| 82.208 | 6980412 | 39724.9787 |
| 81.757 | 301931 | 36180.7892 |
| 81.701 | 7554661 | 37506.4191 |
| 81.235 | 20434176 | 34435.3674 |
| 80.941 | 40448191 | 28821.0637 |
| 80.884 | 9031088 | 33859.7484 |
| 80.745 | 6426679 | 25523.2771 |
| 80.657 | 61083916 | 30470.0167 |
| 80.653 | 33390141 | 36319.2350 |
| 80.546 | 58147733 | 28569.7197 |
| 80.204 | 4115771 | 25185.0091 |
| 80.196 | 4627926 | 49357.1902 |
| 79.972 | 4553009 | 47143.1796 |
| 79.829 | 8199783 | 36126.4927 |
| 79.762 | 16570613 | 36797.9333 |
| 79.483 | 10706290 | 27538.4119 |
| 79.441 | 10392226 | 33692.6051 |
| 79.425 | 60776238 | 33203.2613 |
| 79.406 | 82400996 | 32170.3744 |
| 79.313 | 5238460 | 33207.0844 |
| 78.885 | 4109086 | 40675.9964 |
| 78.782 | 4133884 | 9645.0614 |
| 78.746 | 3942491 | 19328.7090 |
| 78.623 | 49044790 | 23348.1397 |
| 78.553 | 16284741 | 13171.6388 |
| 78.400 | 23174294 | 28718.2768 |
| 78.332 | 5468120 | 35278.4187 |
| 78.273 | 11416987 | 8948.1029 |
| 78.242 | 301139947 | 42951.6531 |
| 78.098 | 10642836 | 20509.6478 |
| 77.926 | 2009245 | 25768.2576 |
| 77.588 | 2505559 | 47306.9898 |
| 76.486 | 10228744 | 22833.3085 |
| 76.442 | 798094 | 7670.1226 |
| 76.423 | 3600523 | 5937.0295 |
| 76.384 | 3447496 | 10611.4630 |
| 76.195 | 108700891 | 11977.5750 |
| 75.748 | 4493312 | 14619.2227 |
| 75.640 | 3204897 | 22316.1929 |
| 75.635 | 708573 | 29796.0483 |
| 75.563 | 38518241 | 15389.9247 |
| 75.537 | 3242173 | 9809.1856 |
| 75.320 | 40301927 | 12779.3796 |
| 74.994 | 13755680 | 6873.2623 |
| 74.852 | 4552198 | 7446.2988 |
| 74.663 | 5447502 | 18678.3144 |
| 74.543 | 684736 | 9253.8961 |
| 74.249 | 85262356 | 2441.5764 |
| 74.241 | 24821286 | 12451.6558 |
| 74.143 | 19314747 | 4184.5481 |
| 74.002 | 10150265 | 9786.5347 |
| 73.952 | 6036914 | 12057.4993 |
| 73.923 | 10276158 | 7092.9230 |
| 73.747 | 26084662 | 11415.8057 |
| 73.422 | 4018332 | 3025.3498 |
| 73.338 | 9956108 | 18008.9444 |
| 73.005 | 7322858 | 10680.7928 |
| 72.961 | 1318683096 | 4959.1149 |
| 72.899 | 5675356 | 2749.3210 |
| 72.889 | 44227550 | 7006.5804 |
| 72.801 | 1250882 | 10956.9911 |
| 72.777 | 27601038 | 21654.8319 |
| 72.567 | 2780132 | 7320.8803 |
| 72.535 | 6053193 | 4519.4612 |
| 72.476 | 22276056 | 10808.4756 |
| 72.396 | 20378239 | 3970.0954 |
| 72.390 | 190010647 | 9065.8008 |
| 72.301 | 33333216 | 6223.3675 |
| 72.235 | 9319622 | 6025.3748 |
| 71.993 | 3921278 | 10461.0587 |
| 71.878 | 6939688 | 5728.3535 |
| 71.777 | 71158647 | 8458.2764 |
| 71.752 | 6667147 | 4172.8385 |
| 71.688 | 91077287 | 3190.4810 |
| 71.421 | 28674757 | 7408.9056 |
| 71.338 | 80264543 | 5581.1810 |
| 71.164 | 33757175 | 3820.1752 |
| 70.964 | 69453570 | 11605.7145 |
| 70.650 | 223547000 | 3540.6516 |
| 70.616 | 65068149 | 7458.3963 |
| 70.259 | 12572928 | 5186.0500 |
| 70.198 | 7483763 | 3548.3308 |
| 69.819 | 1056608 | 18008.5092 |
| 67.297 | 23301725 | 1593.0655 |
| 66.803 | 2874127 | 3095.7723 |
| 65.554 | 9119152 | 3822.1371 |
| 65.528 | 199579 | 1598.4351 |
| 65.483 | 169270617 | 2605.9476 |
| 65.152 | 710960 | 986.1479 |
| 64.698 | 1110396331 | 2452.2104 |
| 64.164 | 3270065 | 1803.1515 |
| 64.062 | 150448339 | 1391.2538 |
| 63.785 | 28901790 | 1091.3598 |
| 63.062 | 12267493 | 1712.4721 |
| 62.698 | 22211743 | 2280.7699 |
| 62.069 | 47761980 | 944.0000 |
| 60.916 | 8502814 | 1201.6372 |
| 60.022 | 22873338 | 1327.6089 |
| 59.723 | 14131858 | 1713.7787 |
| 59.545 | 27499638 | 4471.0619 |
| 59.448 | 1688359 | 752.7497 |
| 59.443 | 19167654 | 1044.7701 |
| 58.556 | 42292929 | 2602.3950 |
| 58.420 | 5701579 | 882.9699 |
| 58.040 | 4906585 | 641.3695 |
| 56.867 | 12894865 | 619.6769 |
| 56.735 | 1454867 | 13206.4845 |
| 56.728 | 8078314 | 1441.2849 |
| 56.007 | 9947814 | 942.6542 |
| 55.322 | 3800610 | 3632.5578 |
| 54.791 | 496374 | 2082.4816 |
| 54.467 | 12031795 | 1042.5816 |
| 54.110 | 35610177 | 1463.2493 |
| 52.947 | 76511887 | 690.8056 |
| 52.906 | 2055080 | 4811.0604 |
| 52.517 | 38139640 | 1107.4822 |
| 52.295 | 14326203 | 1217.0330 |
| 51.579 | 551201 | 12154.0897 |
| 51.542 | 29170398 | 1056.3801 |
| 50.728 | 1639131 | 12569.8518 |
| 50.651 | 10238807 | 1704.0637 |
| 50.430 | 17696293 | 2042.0952 |
| 49.580 | 8390505 | 430.0707 |
| 49.339 | 43997828 | 9269.6578 |
| 48.328 | 18013409 | 1544.7501 |
| 48.303 | 13327079 | 759.3499 |
| 48.159 | 9118773 | 926.1411 |
| 46.859 | 135031164 | 2013.9773 |
| 46.462 | 64606759 | 277.5519 |
| 46.388 | 1472041 | 579.2317 |
| 46.242 | 8860588 | 863.0885 |
| 45.678 | 3193942 | 414.5073 |
| 44.741 | 4369038 | 706.0165 |
| 43.828 | 31889923 | 974.5803 |
| 43.487 | 12311143 | 469.7093 |
| 42.731 | 12420476 | 4797.2313 |
| 42.592 | 2012649 | 1569.3314 |
| 42.568 | 6144562 | 862.5408 |
| 42.384 | 11746035 | 1271.2116 |
| 42.082 | 19951656 | 823.6856 |
| 39.613 | 1133066 | 4513.4806 |










